Graphical Abstract
Metrics
Optimization of Pelleting Parameters for Producing Composite Pellets Using Zeolitic Material From Fly Ash
Corresponding Author(s) : Denise Alves Fungaro
Journal of Applied Materials and Technology,
Vol. 3 No. 2 (2022): March 2022
License
Copyright (c) 2023 Denise Alves Fungaro, Tharcila Bertolini

This work is licensed under a Creative Commons Attribution 4.0 International License.
Abstract
Zeolitic material in powder form was prepared from fly ash by direct activation treatment. The resulted fly ash-based zeolite was pelletizing and the effect of different inorganic (calcium hydroxide, bentonite, kaolinite) and organic (dextrin) binders with varying percentage was investigated. The zeolitic materials were analyzed by XRF, XRD, SEM, FTIR, TG-DTG and Nitrogen adsorption/desorption isotherm. Compression and impact tests have been used to study the deformation and breakage behaviour of spherical granules. The best performance was obtained by zeolite granular containing 5 wt.% bentonite and 5 wt.% kaolinite with mechanical strength and satisfactory water resistance. The synthesis of pelletized zeolite from by-products derived from coal combustion provides not only environmental and economic benefits, but also contributes to achieving the principles of sustainable development.
Keywords
Full Article
Introduction
Zeolites are the most representative microporous materials composed of alumina and silica tetrahedra with wide applications in catalysis (petrochemical industry, refining processes, fine chemical production) and in gas storage and separation. Also, due to their ability to select molecules by size and shape and ion exchange selectivity, zeolites have been employed in removing heavy metal (Zn2+, Cd2+, Pb2+, Cu2+), radioactive contaminants (Cs+, Sr2+, U4+), dyes (crystal violet, acid orange 8) and others toxic pollutants from wastewater [1,2].
Materials useful for zeolite synthesis can be silicon-and aluminum-rich chemicals, from industrial waste, agricultural sources, and by-products, recognized as low-cost raw materials. Coal combustion by-products (CCBs) are a cheap and abundant materials, rich in minerals containing silicon and aluminum, making it suitable as a starting material for the synthesis of zeolites and an attractive alternative to disposal. The global annual production is approximately 150 to 200 million tons of bottom ash and between 600 and 800 million tons of fly ash [3,4].
Various methods for preparing synthetic zeolites are described in literature [1,3,5] . One of the most common methods of obtaining zeolites from CCBs is the conventional hydrothermal synthesis, also known as, direct activation method. Brief, the ash is dispersed in a strongly alkaline solution to extract the silica and alumina and submitted to a heat treatment with a temperature in the range of 90–200 oC for a period of up to 24 h. During this period, reactants in the amorphous phase is replaced by the crystalline phases. This method is considered as a simple and cost-effective approach in zeolitization because low resources are consumed. Zeolitic product obtained is a mixture of multiple zeolites and the yield is about 20–60 wt.% [6,7].
Zeolitic materials based on CCBs are obtained in the form of a fine powder [8-11]. In fixed-bed reactor processes, the effective utilization of zeolite requires that the powder is structured in the form of solid bodies mechanically stable (cylinders, pellets, beads, spheres, etc.).
In order to form granulated zeolite, it is necessary that binder is added to fine powder in the agglomeration techniques. The most commonly used binders are organic compounds (carboxymethylcellulose, starch, dextrin), aluminosilicate clay, (bentonite, attapulgite, kaolinite), synthetic compounds (alumina, silica), or a combination of these materials. The type of binder to be applied depends on the granulation method and the utilization of the granulated zeolite [12,13]. In most cases, zeolites are agglomerated with 20% of a binder [14-16].
The objective of this work is to evaluate the behavior of different binders to agglomerate zeolitic material synthesized from fly ash using wet granulation. To optimize the properties of granules, different binders in several percentages were used; then, the properties of products were studied.
Materials and Method
Materials
All chemicals used for experimental studies were of analytical grade. Coal fly ash sample was collected in the Thermoelectric Complex Jorge Lacerda, located in the Santa Catarina State, Brazil. Physico-chemical properties of fly ash have been reported in previous studies [17,18]. Binders were commercially produced material. Sodium hydroxide (97%) and sodium aluminate (100%) obtained from Sigma-Aldrich Pty. Ltd. (Australia) were used in the preparation of zeolite synthesis.
Zeolite Powder Synthesis
Conventionally hydrothermal treatment was used in the zeolite synthesis: 20 g of coal fly ash were mixed with 160 mL of 3.5 mol L-1 NaOH aqueous solution in a Teflon vessel (ash/solution ratio = 0.125 g mL-1). This mixture was heated to 100 °C for 24 h. The suspension was filtered through a quantitative filter paper and the solid was repeatedly washed with deionized water until the pH of filtrate is at ~ 11. The solid was dried at 100 °C for 24 h. The zeolitic material obtained was labeled as ZC [11].
Preparation of zeolite in granular form
ZC was mixed with binder and homogenized. Then, deionized water with ratio dry mixture mass:volume = 1:1 was slowly poured into a cavity in the center of the container containing the dry mixture until a paste was obtained. After homogenization, the pasty mixture was molded into spherical granules. After the molding step, the material was dried in an oven at 100 °C for 2 h and calcined in a muffle at 500 °C for 2 h. The diameters of granules ranged between 3 mm and 6 mm. ZC content was maintained at 90 and 95 wt. %. Eleven pelletized zeolite samples (ZP1 to ZP11) with dextrin, calcium hydroxide, bentonite, kaolinite, and a mixture of the binders with different amounts are listed in Table 1 . Figure 1 illustrates one of the pellet samples produced.
| Composition (wt.%) | ||||
| Pelletized Zeolite | Dextrin | Calcium Hydroxide | Bentonite | Kaolinite |
| ZP1 | 5 | 0 | 0 | 0 |
| ZP2 | 10 | 0 | 0 | 0 |
| ZP3 | 0 | 10 | 0 | 0 |
| ZP4 | 0 | 0 | 0 | 10 |
| ZP5 | 0 | 0 | 10 | 0 |
| ZP6 | 0 | 5 | 5 | 0 |
| ZP7 | 5 | 5 | 0 | 0 |
| ZP8 | 0 | 0 | 2 | 8 |
| ZP9 | 0 | 0 | 5 | 5 |
| ZP10 | 0 | 0 | 8 | 2 |
| ZP11 | 0 | 0 | 2.5 | 2.5 |
Figure 1.Figure 1. Pelletized zeolite sample (ZP9)
Characterization of materials
Physico-chemical properties of fly ash have been reported in previous studies [17,18]. The mineralogical compositions were determined by X-ray diffraction analyses (XRD) with Rigaku Miniflex 2 diffractometer with Cu anode using Co Kα radiation at 40 kV and 20 mA over the range (2θ) of 5–80° with a scan time of 0.5°/min. The chemical composition was determined by X-ray fluorescence (XRF) in Rigaku RIX- 3000 equipment. Thermal analysis was performed by thermogravimetry on the Mettler-Toledo equipment model TGA/SDTA 851 and each sample (~10 mg) was heated from 25 to 1000 oC at a heating rate of 10 oC·min−1, under an oxygen flush (50 mL·min−1). The scanning electron micrographs were performed using a FEI QUANTA FEG 650 microscope. Vibration spectra of the samples were determined by Fourier Transform Infrared Spectroscopy (FTIR) (Perkin Elmer Frontier) within a wavelength from 4000 cm−1 to 400 cm−1. Textural properties of the samples were measured from N2 adsorption/desorption isotherms at 77 K (Micromeritics, TriStar II 3020). The samples were purged with nitrogen gas for 12 h at 150 ºC. The specific surface area was calculated by the Brunauer–Emmet–Teller (BET) [19] ; the microporous surface area, external surface area, and micropore volume were evaluated by the t-plot method [20]; the pore diameter and mesopore volume were obtained by the Barrett–Joyner–Halenda (BJH) method. The pore-size distribution was calculated by analyzing both the adsorption and desorption branches of the isotherm using the Barrett-Joyner-Halenda method [21] .
Cation exchange capacity was determined by a previously described procedure [22]. The stability in water of the granular zeolite was determined by weighing the pellet mass before and after the cation exchange capacity test. Workability was related to the ease of handling and molding the paste consisting of powdered zeolite, binder and water to form pellets (H=high; M= medium; L=low). All tests were done in triplicates.
The drop test consisted of dropping the material from a height of 100 cm onto a metallic surface and recording the number of drops that each granule withstood until disintegrating. The compressive strength test was performed for the samples that were selected in the drop test. A texturometer model TA.XT.PLUS, brand STABLE MICRO SYSTEMS was used. The test was carried out at room temperature, using a 500 N load cell and constant velocity equal to 0.02 mm s-1, until the primary fracture (FF). The tests were repeated five times per series of samples. The characteristic fracture strength (σF) was calculated from the ratio of the fracture force (FF) related to the cross-sectional area (A) of the granule [23]:
\begin{equation} \sigma _{f}=\frac{F_{F}}{A}=\frac{F_{F}}{\pi r^{2}} \tag{1} \end{equation}
Results and Discussion
Chemical and mineralogical characterization of zeolite powder
The chemical composition of the zeolitic material (ZC) determined by X-ray fluorescence (XFR) is shown in Table 2. The zeolitic product is mainly composed of silica, alumina, calcium oxide, iron oxide and sodium oxide. The presence of sodium is the result of the addition of NaOH solution in the hydrothermal treatment. Elements present in fly ash, such as Fe, Ca, Mg, Ti, Mn, etc. were also found in zelitic material [17]. The cation exchange capacity values obtained for fly ash used as raw material and zeolitic material was 0.083 meq g-1 and 1.84 meq g-1, respectively. The CEC value of ZC was 20 times higher than fly ash confirming that zeolitic material has a high potential to be used as cation exchanger.
| Oxides | wt. % | Oxides | wt. % |
| SiO2 | 34.7 | ZrO2 | 0.067 |
| Al2O3 | 23.3 | ZnO | 0.056 |
| CaO | 10.1 | P2O5 | 0.052 |
| Fe2O3 | 7.80 | MnO | 0.052 |
| Na2O | 7.56 | SrO | 0.036 |
| TiO2 | 1.76 | Cr2O3 | 0.032 |
| MgO | 1.00 | CeO2 | 0.024 |
| SO3 | 0.557 | Cl | 0.020 |
| K2O | 0.510 | others | < 0.016 |
| BaO | 0.080 | loss of ignition (%) | 12.2 |
The phases in zeolitic material obtanined by X-ray diffraction (Figure 2) were hydroxysodalite (JCPDS 31-1271) and NaX (JCPDS 38-0237) as zeolitic phases with peaks of quartz (JCPDS 85-0796) and mullite (JCPDS 74–4143) of ash that remained after the treatment. The diffractograms also show the presence of halo typical of material amorphous. Hydroxysodalite is always created in the majority phase of zeolite content in the synthetized product obtained by conventional hydrothermal treatment due to its greater stability [6,8,9,24].
Figure 2.Figure 2. XRD diffractogram of zeolite in powder form (H = hydroxysodalite; X= NaX; Q = Quartz, M = mullite)
Effect of the type and amount of binder on the characteristics of granular zeolite
In the first phase, pellets with eleven different binder types and percentages were prepared with and without calcination. The choice of the binders was based on procedures reported in the literature [25-28].
Clay-like binders not only improve the mechanical stability, but they also contribute to the physical and chemical properties of the powder being shaped. However, the addition of clays binders with alumina and silica content can significantly alter some zeolite properties, in terms of structure or acidity [12]. Calcium hydroxide is one of the most popular types of inorganic binders and is usually used as a pellet hardening agent. Organic binders might be easily removed from the shaped composites upon thermal treatment, thus not altering the physical and chemical properties of the initial powder. However, they may fail to give sufficient mechanical strength to the pellets.
The primary goal of using binders was to enhance the mechanical stability of the granules. The investigated properties of drop test of non-calcined and calcined zeolitic materials pelletized are presented in Table 3.
| Pelletized Zeolite | Drop test | |
| Non-calcined zeolite | Calcined zeolite | |
| ZP1 | 1 | 1 |
| ZP2 | 1 | 1 |
| ZP3 | 1 | 2 |
| ZP4 | 1 | 4 |
| ZP5 | 4 | 71 |
| ZP6 | 1 | 1 |
| ZP7 | 1 | 1 |
| ZP8 | 1 | 7 |
| ZP9 | 19 | 70 |
| ZP10 | 21 | 99 |
| ZP11 | 5 | 14 |
The results varied widely, depending on the type and composition of the binders used. The strength of pelletized zeolite samples before calcination were not satisfactory with the majority breaking in the first fall, indicating that a calcination would be necessary. Combined pelleted samples with bentonite and kaolinite (ZP9 and ZP10) were an exception, because showed a relatively high drop strength value even without calcination.
The reason for the significant increase in the strength of the granules after the calcination process is probably the physical and chemical changes in the binders that occur during the heat treatment [29]. Calcination increased the mechanical stability of the pellets and destroys the surface area and activity of the clay [16]. After the solidification step by calcination, shaped zeolite bodies contain an inter-particular and interconnected pore systems, which is classified as hierarchical [30].
Organic binder (dextrin) and calcium hydroxide were not able to create enough strong bonds with the surfaces of zeolitic material (sample ZP1, ZP2 and ZP3) even after calcination.
The greatest resistances have been reached with the pellet composition containing bentonite alone (ZP5) or mixed with kaolinite in greater or equal percentage (ZP9 and ZP10) and the pellets from the stoichiometric mixture contained 90 wt.% zeolite.
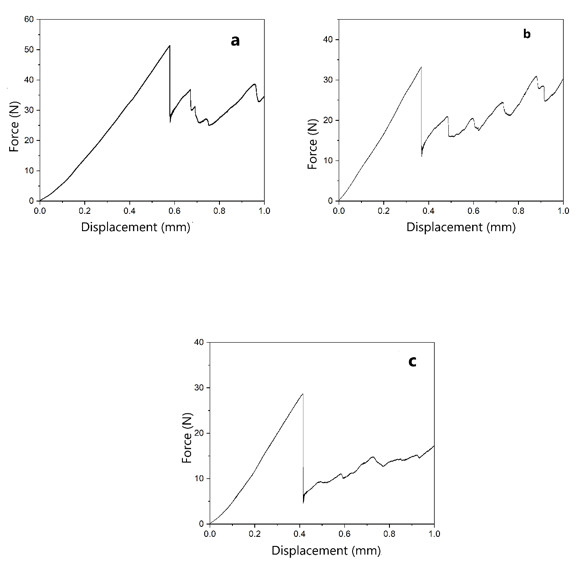
The compactness and the resistance of the granules to the mechanical forces are essential for the use of the granules in various applications; therefore, a measurement of the forces at which granules broke was conducted to evaluate the effectiveness of the binder in the granules. Based on the results, the mechanical strength of ZP5, ZP9 and ZP10 samples after calcination was measured by force-displacement curves (Figure 3). The average values of mechanical properties are summarized for examined granulates in Table 4.
Figure 3.Figure 3. Force-displacement curve of (a) ZP5; (b) ZP9; (c) ZP10
The force-displacement curves for ZP5, ZP9 and ZP10 samples presented similar behavior (Figure 3). The samples exhibit dominant elastic–plastic properties before primary breakage occurs. Linear-elastic portion of the curve was observed only at the beginning of stressing (< 0.1 mm). After the breakage point, the multiple stressing leads to the failure of the fragments. Similar mechanical behaviour during compression was observed with commercial synthetic zeolitic molecular sieves of the type 4A in the form of granules [23,31-33].
| Sample | Binder (% wt) | Breakage Force (N) | Fracture Strength (MPa) | |
| Bentonite | Kaolinite | |||
| ZP5 | 10 | 0 | 49.7 | 2.6 |
| ZP9 | 5 | 5 | 34.8 | 1.5 |
| ZP10 | 8 | 2 | 30.9 | 1.6 |
The increase in bentonite content increases strength due to improvement in interaction between the zeolite and clay particle. The addition of kaolinite into the composition decreased the compressive strength due to increase in pore size and heterogonous distribution of secondary pore system [16,34]. The breakage force of commercial zeolite (Köstrolith 4AK) prepared with attapulgite was 23.8 ± 7.7 N, a lower value than the samples synthesized with residue [31].
The properties including workability, water stability and cation exchange capacity values of granular zeolitic materials are shown in Table 5. The granular zeolite ZP5, despite having greater mechanical strength than the other samples, showed less stability in water and the structure collapsed. ZP9 and ZP10 samples presented cationic exchange capacity values close to that of powdered zeolite (ZC) and others similar properties (workability and breakage force). However, the greatest stability in water was observed for ZP9.
| Sample | Binder (% wt) | Workability | Pellet water stability | CEC2 (meq g-1) | |
| Bentonite | Kaolinite | ||||
| ZP5 | 10 | 0 | M | L | Collapsed |
| ZP9 | 5 | 5 | H | H | 1.75 |
| ZP10 | 8 | 2 | H | M | 1.70 |
| ZC | - | - | - | - | 1.84 |
Therefore, sample with the mentioned composition of 90 wt.% zeolite with 5 wt.% bentonite and 5 wt.% bentonite (ZP9) was selected as optimum granular zeolitic material to be used as an adsorbent material in the treatment of liquid effluent in a fixed bed column. This obtained material and binders were characterized by different complementary techniques.
Characterization of binders
The chemical compositions of the bentonite and kaolinite are given in Table 6. From Table 6, it is identified that both clays mainly contained silicon oxide (SiO2) and aluminum oxide (Al2O3), dominant constituents of all clay minerals. The relatively high percentage of Fe2O3 (~10%) is typical for most Brazilian bentonites [35]. The Fe2O3 and TiO2 were the main impurities (1.2-1.3%) for kaolinite.
| Oxides | Bentonite (wt.%) | Kaolinite (wt.%) |
| SiO2 | 51.4 | 47.4 |
| Al2O3 | 15.0 | 34.8 |
| Fe2O3 | 9.82 | 1.27 |
| MgO | 2.24 | < 0.001 |
| CaO | 1.74 | < 0.001 |
| Na2O | 1.42 | 0.120 |
| TiO2 | 1.40 | 1.15 |
| K2O | 0.579 | 0.041 |
| Cl | 0.180 | 0.060 |
| V2O5 | 0.042 | < 0.001 |
| BaO | 0.036 | < 0.001 |
| MnO | 0.033 | < 0.001 |
| P2O5 | 0.032 | 0.127 |
| Cr2O3 | 0.021 | < 0.001 |
| SrO | 0.019 | 0.017 |
| ZnO | 0.019 | < 0.001 |
| NiO | 0.013 | 0.009 |
| Rb2O | 0.007 | < 0.001 |
| Nb2O2 | 0.005 | < 0.001 |
| SO3 | < 0.001 | 0.230 |
| CuO | < 0.001 | 0.009 |
| PbO | < 0.001 | 0.019 |
| Ga2O3 | < 0.001 | 0.010 |
The X-ray patterns of used binders are illustrated in Figure 4. The bentonite (Figure 4a) contains mainly montmorillonite and impurities such as quartz, cristobalite and kaolinite. Kaolinite is the predominant mineral phase, which can be identified by its characteristic XRD peaks at 12.34° and 24.64° 2θ (Figure 4) [36].
Figure 4.Figure 4. XRD diffractogram of (a) bentonite (M: montmorillonite, Q: quartz, k: kaolinite, CR: cristobalite); (b) kaolinite (k: kaolinite)
Granular zeolite characterizations obtained by the optimized method
The chemical composition of the granular zeolitic material ZP9 is reported in Table 7, along with the SiO2/Al2O3 ratio. An increase of silica and alumina in the chemical composition of the zeolite after pelletization compared to powder zeolite (Table 2) was confirmed, since these are the main constituents of binding agents (bentonite and kaolinite) used in the process.
| Oxides | wt. % | Oxides | wt. % |
| SiO2 | 46.7 | K2O | 0.487 |
| Al2O3 | 26.6 | MnO | 0.048 |
| CaO | 8.66 | SO3 | 0.474 |
| Na2O | 7.40 | P2O5 | 0.045 |
| Fe2O3 | 6.41 | ZnO | 0.043 |
| TiO2 | 1.46 | SrO | 0.031 |
| MgO | 1.37 | Cr2O3 | 0.025 |
| BaO | 0.069 | Cl | 0.020 |
| ZrO2 | 0.068 | Y2O3 | 0.014 |
| CeO2 | 0.057 | SiO2/Al2O3 | 1.80 |
Figure 5 shows the XRD pattern of the as-prepared granular zeolite and powder zeolite. After pelletization, no new diffraction peaks was observed, indicating no new crystalline phase formation, that is important to maintain the zeolite properties. The addition of bentonite and kaolinite as a binder also did not cause a significant change in peaks intensity.
Figure 5.Figure 5. XRD diffractogram of power zeolite and granular zeolite (H = hydroxysodalite; X= NaX; Q = Quartz, M = mullite)
Figure 6a and b illustrates the SEM images of zeolitic material ZC at different magnifications. The surface is constituted of rough-surfaced and spheroidal crystals, indicating that zeolite crystals were deposited on the surface of fly ash particles during the hydrothermal treatment. The morphologies of zeolitic material are similar to the typical appearances found in the earlier published SEM observations [37-39].
The agglomerated ball-like morphology is commonly associated with hydroxysodalite zeolite [40] . It is evident that the morphological representation of hydroxysodalite and mixture with others zeolite types through SEM data does not always allow the particular phase identity [41].
In the micrographs obtained from granular zeolite is observed that the zeolite particles are surrounded by the binders bentonite and kaolinite (Figure 6c and d).
Figure 6.Figure 6. SEM micrograph of zeolites with different magnifications (a) ZC- 10000 x; (b) ZC- 40000 x; (c) ZP9- 10000 x; (d) ZP9- 40000 x
The main functional groups characteristics of the granular and powder zeolites were identified by FTIR (Figure 7). FTIR analysis of the samples revealed the preservation of the structure of zeolite in form of powder after the pelletization process. The bands at 459-466 cm−1 were ascribed to the internal vibration of T-O (T= Si, Al) bending [42]. The vibrations observed at 560 cm−1 are corresponding to a super-position of symmetrical stretching vibrations of the Si-O-Si and the bending vibrations corresponding to O- Si –O [43]. The bands at 662-667 cm−1 and 728-729 cm−1 were attributed to symmetry stretching vibration of O-Si-O and the band at 695 cm−1 was attributed to symmetry stretching vibration Al-O-Si [37]. Vibrations reflected at 995–1009 cm−1 are assigned to the asymmetric stretching vibrations characteristic of T-O-T bridge bonds in TO4 tetrahedra belonging to aluminosilicates with sodalite structure [44,45]. The bands in the regions of 1453-1472 cm-1 and at about 876 cm-1 were assigned to the C−O stretching [37,46] . The band observed at 1638-1645 cm−1 correspond to the H-OH deformation and are usually evidence of the presence of hydrated compounds whose water is strongly linked to the molecular structure of the compound [47]. The bands at 3438-3446 cm−1 are characteristic of OH hydrogen bonded to the oxygen ions of the zeolite framework [5,48] .
Figure 7.Figure 7. FTIR spectra of the as-synthesized zeolitic material (a) ZC powder; (b) ZP9 pelletized
The profile of the thermogravimetric curves of ZC and ZP9 are shown in Figure 8. From Figure 8a, the great loss of mass weight associated with loss of free and physically adsorbed water inside the zeolite pores occurred between 33.8 oC and 49.0 oC (7.24%). It can be seen that sample showed continuous weight loss until 400 oC due dehydration, after that it became almost constant. In the second stage, the mass loss between 296.68 °C and 716.03 °C (6.26%) can be attributed to the decomposition of CaCO3 from fly ash used as raw material for the zeolite synthesis [49]. The profile of the thermogravimetric curves of the granular zeolite (Figure 8b) was maintained in relation to that obtained for the powdered zeolite, thus confirming the thermal stability of the material after the pelletization process.
Figure 8.Figure 8. TG and DTG curves of (a) ZC; (b) ZP9
The N2 adsorption-desorption isotherm of the zeolitic material in powder form is presented in Figure 9a, while the pore size distribution curve determined by the Barret-Joyner-Hatenda (BJH) model is presented in Figure 9b. The isotherm for the sample was of type IV and exhibited a well-defined H3 hysteresis loop according to the IUPAC classification, relative to the mesoporous structure [50]. A bimodal pore distribution was observed due to the presence of mainly mesopores centered around 50 Å and 250 Å (Figure 9b).
The granular zeolitic material shows mesoporosity characteristics as it is evident in the adsorption/desorption isotherm, similar to the adsorption/desorption isotherm of zeolite powder (Figure 10a). The pore sizes of the sample were concentrated in the 30-680 Å range (Figure 10b). However, the pore diameter distribution shows a unimodal distribution with a peak around 250 Å. Probably, the presence of bentonite and kaolinite as binders in the structure of the granules resulted in the blocking of pores of smaller diameter [51].
Figure 9.Figure 9. (a) Nitrogen adsorption-desorption isotherms; (b) Pore diameter distribution curve for ZC
Figure 10.Figure 10. (a) Nitrogen adsorption-desorption isotherms; (b) Pore diameter distribution curve for ZP9
The BET, t-plot and BJH methods were employed to calculate the textural properties of synthesized zeolites before (ZC) and after (ZP9) the addition of bentonite and kaolinite to the conformation of the sample into spherical shape (Table 8). As shown in Table 8, the values of surface area and micropore volume of zeolitic powder are higher than pelletized zeolitic material, as indicated in the pore diameter distribution curve due to presence of binders.
| Sample | S1BET (m2 g-1) | S2Micro (m2 g-1) | S3exter (m2 g-1) | V4Micro (cm3 g-1) | D5poro (Å) | V6Meso (cm3 g-1) |
| ZC | 76.57 | 38.52 | 38.05 | 0.01633 | 108.8 | 0.1110 |
| ZP9 | 21.20 | 2.104 | 19.11 | 0.000775 | 125.3 | 0.08129 |
Conclusion
In this study, fly ash was activated by conventional hydrothermal treatment. Zeolite phases, such as, Na-X and hydroxysodalite were identified in zeolitic material in powdered form. Inorganic and organic binders were used to shape the zeolite powder into spherical granules using wet granulation process. The pellets were characterized in terms of physico-chemical, mechanical properties, and adsorption capacity. The best condition for the spherical adsorbent can be obtained for the sample prepared using 90 wt.% zeolitic material, 5 wt.% bentonite and 5 wt.% kaolinite. Although the pelletization decreased the textural properties, the granular zeolitic material exhibited similar characteristics to the zeolitic material powder, mainly in relation to the cation exchange capacity. The results show the possibility for using the readily available, low-cost waste (CCBs) to produce granular zeolitic material, following the concept of turning waste into value-added material for environmental applications related to Sustainable Development Goal 12 (target 12.5).
Acknowledgements
The authors are grateful to Conselho Nacional de Desenvolvimento Científico e Tecnológico (CNPq), Coordenação de Aperfeiçoamento de Pessoal de Nível Superior (CAPES) for supporting this study and Jorge Lacerda coal-fired power plant for providing coal ash sample.
References
- Azizi Dariush, Ibsaine Fatima, Dionne Justine, Pasquier Louis-César, Coudert Lucie, Blais Jean-François. Microporous and macroporous materials state-of-the-art of the technologies in zeolitization of aluminosilicate bearing residues from mining and metallurgical industries: A comprehensive review. Microporous and Mesoporous Materials. 2021; 318DOI
- Khaleque Abdul, Alam Md Masruck, Hoque Mozammel, Mondal Shuvodip, Haider Jahid Bin, Xu Bentuo, Johir M.A.H., Karmakar Aneek Krishna, Zhou J.L., Ahmed Mohammad Boshir, Moni Mohammad Ali. Zeolite synthesis from low-cost materials and environmental applications: A review. Environmental Advances. 2020; 2DOI
- Zhang Xiaoyu, Li Chunquan, Zheng Shuilin, Di Yonghao, Sun Zhiming. A review of the synthesis and application of zeolites from coal-based solid wastes. International Journal of Minerals, Metallurgy and Materials. 2022; 29(1)DOI
- Yoldi M., Fuentes-Ordoñez E.G., Korili S.A., Gil A.. Zeolite synthesis from industrial wastes. Microporous and Mesoporous Materials. 2019; 287DOI
- Ren Xiaoyu, Qu Ruiyang, Liu Shaojun, Zhao Haitao, Wu Weihong, Song Hao, Zheng Chenghang, Wu Xuecheng, Gao Xiang. Synthesis of Zeolites from Coal Fly Ash for Removal of Harmful Gaseous Pollutants: A Review. Aerosol and Air Quality Research. 2020; 20(5)DOI
- Längauer David, Čablík Vladimír, Hredzák Slavomír, Zubrik Anton, Matik Marek, Danková Zuzana. Preparation of Synthetic Zeolites from Coal Fly Ash by Hydrothermal Synthesis. Materials. 2021; 14(5)DOI
- Harja M. , Ciobanu G. Eco-friendly nano-adsorbents for pollutant removal from wastewaters. In: Kharissova Oxana Vasilievna , Torres-Martínez Leticia Myriam , Kharisov Boris Ildusovich . Handbook of Nanomaterials and Nanocomposites for Energy and Environmental Applications. Springer International Publishing: Springer International Publishing; 2020. DOI
- Bertolini Tharcila Colachite Rodrigues, Alcântara Raquel Reis, Izidoro Juliana De Carvalho, Fungaro Denise Alves. Adsorption of Acid Orange 8 Dye from Aqueous Solution Onto Unmodified and Modified Zeolites. Orbital - The Electronic Journal of Chemistry. 2015; 7(4)DOI
- Bertolini T. C. R, Izidoro J. C. Adsorption of crystal violet dye from aqueous solution onto zeolites from coal fly and bottom ashes. Orbital: The Electronic Journal of Chemistry. 2013; 5
- Bertolini Tharcila Colachite Rodrigues , Izidoro Juliana de Carvalho , Alcântara Raquel Reis , Grosche Lucas Caetano , Fungaro Denise Alves. Surfactant-Modified Zeolites from Coal Fly and Bottom Ashes as Adsorbents for Removal of Crystal Violet from Aqueous Solution. Acta Velit. 2015; 1(4)
- Izidoro Juliana de C., Fungaro Denise Alves, dos Santos Fernando S., Wang Shaobin. Characteristics of Brazilian coal fly ashes and their synthesized zeolites. Fuel Processing Technology. 2012; 97DOI
- Bingre Rogéria, Louis Benoît, Nguyen Patrick. An Overview on Zeolite Shaping Technology and Solutions to Overcome Diffusion Limitations. Catalysts. 2018; 8(4)DOI
- Gleichmann Kristin, Unger Baldur, Brandt Alfons. Industrial Zeolite Molecular Sieves. In: Belviso Claudia. Zeolites. IntechOpen: IntechOpen; 2016. DOI
- S.B Ainun., R Kugaann., M.F Chow.. Phosphorus and Nitrogen Treatment of Reservoir Water using Zeolite. International Journal of Engineering & Technology. 2018; 7(4.35)DOI
- Ciosek Amanda L., Luk Grace K.. A Feasibility Study of a Clay-Zeolite Media as a Removal Technology of Total Phosphorus from Wastewater. International Journal of Environmental Pollution and Remediation. 2014. DOI
- Jasra Raksh V., Tyagi Beena, Badheka Yogi M., Choudary Venkateswarlu N., Bhat Thirumaleswara S. G.. Effect of Clay Binder on Sorption and Catalytic Properties of Zeolite Pellets. Industrial & Engineering Chemistry Research. 2003; 42(14)DOI
- Bertolini T. C. R. Synthesis and characterization of zeolitic material granular of coal ash and evaluation in the application as adsorbent. 2019.
- Bertolini Tharcila C. R. , Guilhen Sabine N. , Fungaro Denise A. . Pellets Manufactured from Coal Fly Ash: Preparation, Characterization and Environmental Applications. In: Parker Jacob . Fly Ash: Properties, Analysis and Performance. Nova Science: Nova Science; 2017.
- Brunauer Stephen, Emmett P. H., Teller Edward. Adsorption of Gases in Multimolecular Layers. Journal of the American Chemical Society. 1938; 60(2)DOI
- Harkins William D., Jura George. Surfaces of Solids. XIII. A Vapor Adsorption Method for the Determination of the Area of a Solid without the Assumption of a Molecular Area, and the Areas Occupied by Nitrogen and Other Molecules on the Surface of a Solid. Journal of the American Chemical Society. 1944; 66(8)DOI
- Barrett Elliott P., Joyner Leslie G., Halenda Paul P.. The Determination of Pore Volume and Area Distributions in Porous Substances. I. Computations from Nitrogen Isotherms. Journal of the American Chemical Society. 1951; 73(1)DOI
- Izidoro Juliana de C., Fungaro Denise A., Abbott Jennifer E., Wang Shaobin. Synthesis of zeolites X and A from fly ashes for cadmium and zinc removal from aqueous solutions in single and binary ion systems. Fuel. 2013; 103DOI
- Müller P., Antonyuk S., Tomas J.. Influence of Moisture Content on the Compression Behavior of Granules. Chemical Engineering & Technology. 2011; 34(9)DOI
- Solanki Parag, Gupta Vikal, Kulshrestha Ruchi. Synthesis of Zeolite from Fly Ash and Removal of Heavy Metal Ions from Newly Synthesized Zeolite. E-Journal of Chemistry. 2010; 7(4)DOI
- Widiastuti Nurul , Martak Fahimah , Fansuri Hamzah , Ratnasari Mia . Adsorption of Cu(II) Ion on Zeolite A Synthesized from Coal Bottom Ash in Fixed Bed Column System. 2012. DOI
- Alaica Amanda L. . On-Site Total Phosphorus Removal From Wastewater. 2012. DOI
- Lee Kyung-Mi, Jo Young-Min. Synthesis of zeolite from waste fly ash for adsorption of CO2. Journal of Material Cycles and Waste Management. 2010; 12(3)DOI
- Lee K. K. The use of low-cost zeolites for the removal of selected contaminants and combination with biological process for wastewater treatment. 2008.
- Fakin T, Ristić Alenka , Horvat Andrej , Kaučič Venčeslav . Water adsorption study on the zeolite LTA granules. 2013.
- Mehlhorn Dirk, Inayat Alexandra, Schwieger Wilhelm, Valiullin Rustem, Kärger Jörg. Probing Mass Transfer in Mesoporous Faujasite-Type Zeolite Nanosheet Assemblies. ChemPhysChem. 2014; 15(8)DOI
- Müller Peter, Russell Alexander, Tomas Jürgen. Influence of binder and moisture content on the strength of zeolite 4A granules. Chemical Engineering Science. 2015; 126DOI
- Russell Alexander, Schmelzer Janett, Müller Peter, Krüger Manja, Tomas Jürgen. Mechanical properties and failure probability of compact agglomerates. Powder Technology. 2015; 286DOI
- Antonyuk Sergiy, Tomas Jürgen, Heinrich Stefan, Mörl Lothar. Breakage behaviour of spherical granulates by compression. Chemical Engineering Science. 2005; 60(14)DOI
- Salem A., Akbari Sene R.. Removal of lead from solution by combination of natural zeolite–kaolin–bentonite as a new low-cost adsorbent. Chemical Engineering Journal. 2011; 174(2-3)DOI
- Porras David Enrique Vega, Angélica Rômulo Simões, Paz Simone Patrícia Aranha da. Practical mineralogical quantification of bentonites supported for a PXRD calibrated hkl model. Brazilian Journal of Geology. 2021; 51(1)DOI
- Gonçalves M. V. B., Cardoso A. V., Parreira F. V.. Intercalation experiments for morphological alteration of kaolinite present in iron ore tailings. Cerâmica. 2020; 66(378)DOI
- Makgabutlane Boitumelo, Nthunya Lebea N., Musyoka Nicholas, Dladla Bongumusa S., Nxumalo Edward N., Mhlanga Sabelo D.. Microwave-assisted synthesis of coal fly ash-based zeolites for removal of ammonium from urine. RSC Advances. 2020; 10(4)DOI
- Malonda Shabani Juvet, Babajide Omotola, Oyekola Oluwaseun, Petrik Leslie. Synthesis of Hydroxy Sodalite from Coal Fly Ash for Biodiesel Production from Waste-Derived Maggot Oil. Catalysts. 2019; 9(12)DOI
- Shoumkova Annie, Stoyanova Valeria. Zeolites formation by hydrothermal alkali activation of coal fly ash from thermal power station “Maritsa 3”, Bulgaria. Fuel. 2013; 103DOI
- Makgaba Chabisha P. , Daramola Michael O. . Transesterification of Waste Cooking Oil to Biodiesel over Calcined Hydroxy Sodalite (HS) Catalyst: A preliminary investigation. 2015. DOI
- Nanganoa Lawrence Tatanah , Mbadcam Ketcha Joseph , Kang Seuil. Synthesis of hydroxy-sodalite from fine fractions of sandy clay loam soil (Natural aluminosilicate). International Journal of ChemTech Research. 2016; 9(6)
- FLANIGEN EDITH M. , KHATAMI HASSAN , SZYMANSKI HERMAN A. . Infrared Structural Studies of Zeolite Frameworks. In: Flanigen Edith M. , Sand Leonard B. . Molecular Sieve Zeolites-I, Advances in Chemistry. DOI
- Jacas-Rodríguez A., Rodríguez-Pascual P., Franco-Manzano D., Contreras L., Polop C., Rodriguez M. A.. Mixed Matrix Membranes prepared from polysulfone and Linde Type A zeolite. Science and Engineering of Composite Materials. 2020; 27(1)DOI
- Mozgawa W., Jastrzębski W., Handke M.. Vibrational spectra of D4R and D6R structural units. Journal of Molecular Structure. 2005; 744-747DOI
- Szostak Rosemarie . Handbook Of Molecular Sieves. Springer; 1992.
- Kristova Petra, Hopkinson Laurence J., Rutt Ken J.. The Effect of the Particle Size on the Fundamental Vibrations of the [CO32–] Anion in Calcite. The Journal of Physical Chemistry A. 2015; 119(20)DOI
- Fernández-Jiménez Ana, Palomo Ángel, Vazquez Tomas, Vallepu Ramesh, Terai Tohru, Ikeda Ko. Alkaline Activation of Blends of Metakaolin and Calcium Aluminate. Journal of the American Ceramic Society. 2008; 91(4)DOI
- Zhang Xu, Tang Dingxing, Jiang Guojun. Synthesis of zeolite NaA at room temperature: The effect of synthesis parameters on crystal size and its size distribution. Advanced Powder Technology. 2013; 24(3)DOI
- Majchrzak-Kucęba I., Nowak W.. Thermal analysis of fly ash-based zeolites. Journal of Thermal Analysis and Calorimetry. 2004; 77(1)DOI
- Thommes Matthias, Kaneko Katsumi, Neimark Alexander V., Olivier James P., Rodriguez-Reinoso Francisco, Rouquerol Jean, Sing Kenneth S.W.. Physisorption of gases, with special reference to the evaluation of surface area and pore size distribution (IUPAC Technical Report). Pure and Applied Chemistry. 2015; 87(9-10)DOI
- Charkhi Amir, Kazemeini Mohammad, Ahmadi Seyed Javad, Ammari Allahyari Sareh. Effect of Bentonite Binder on Adsorption and Cation Exchange Properties of Granulated Nano NaY Zeolite. Advanced Materials Research. 2011; 335-336DOI
Download Citation
Endnote/Zotero/Mendeley (RIS)BibTeX